英语家园

 找回密码
 注册

QQ登录

只需一步,快速开始

扫一扫,访问移动社区

搜索

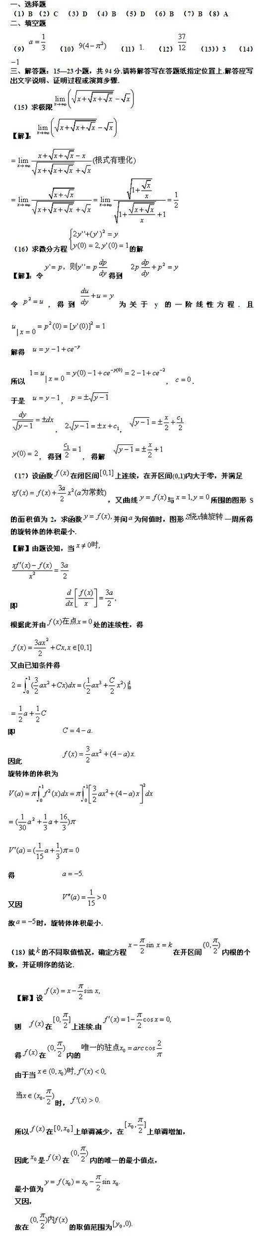
2014考研数学一考前冲刺模拟试题(二十六)

发布者: wendy1502 | 发布时间: 2013-12-24 21:02| 查看数: 1295| 评论数: 0|

2014考研数学一考前冲刺模拟试题(二十六)

3.jpg
4.jpg

最新评论

关闭

站长推荐上一条 /1 下一条

快速回复 返回顶部 返回列表